EMIF files
Current release: 2.4.3
|
|---|
Practical information:
We do not longer maintain EMIF files .zip format. Instead, we moved to github repository:
https://github.com/elhub/im-emif-files
This way we can maintan full history EMIF files, maintain future changes in form of PR (pull requests) and enable actors to pilot future changes at will, by combining them in any way they please, for testing purposes.
How repository is organized:
all publushed changes are in main branch
we use tagging and publish releases based on accepted changes: https://github.com/elhub/im-emif-files/releases
as for future changes, we keep them in PR section: https://github.com/elhub/im-emif-files/pulls
future changes are subject to corretions with certain plans when do we aim to put them in production and are, as general rule, based on latest published release

As a general rule, we try not to have conflicts in published PRs.
We also try to update open PRs when some of PR is merged into main so that open PR always reflects changes based on latest Release (and point to proper main commit accordingly).
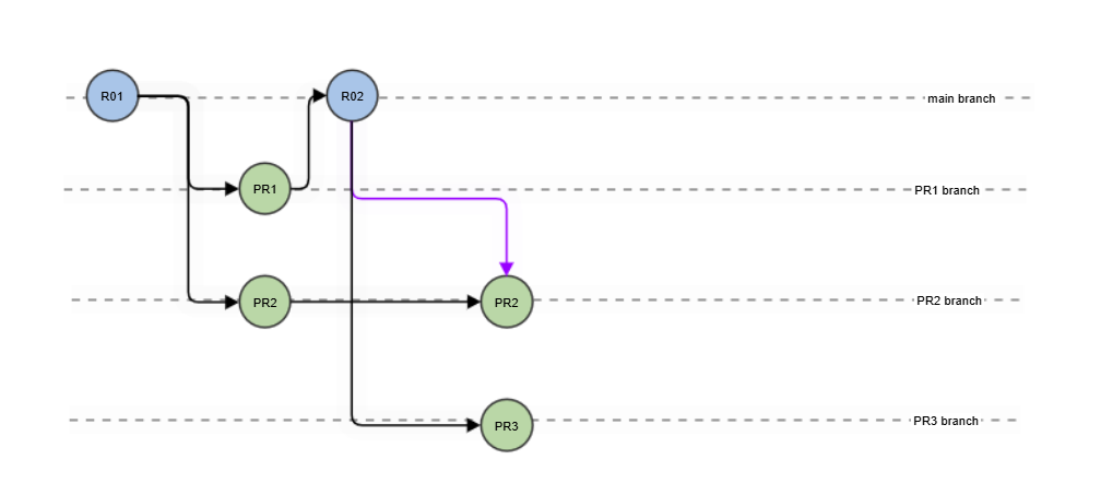
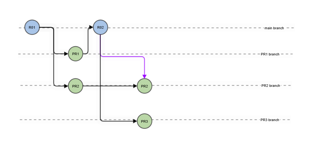
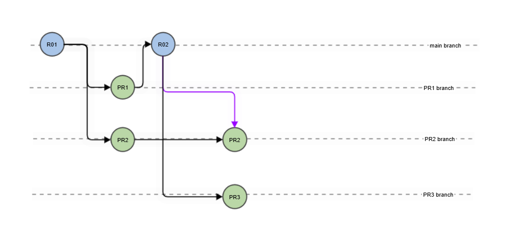
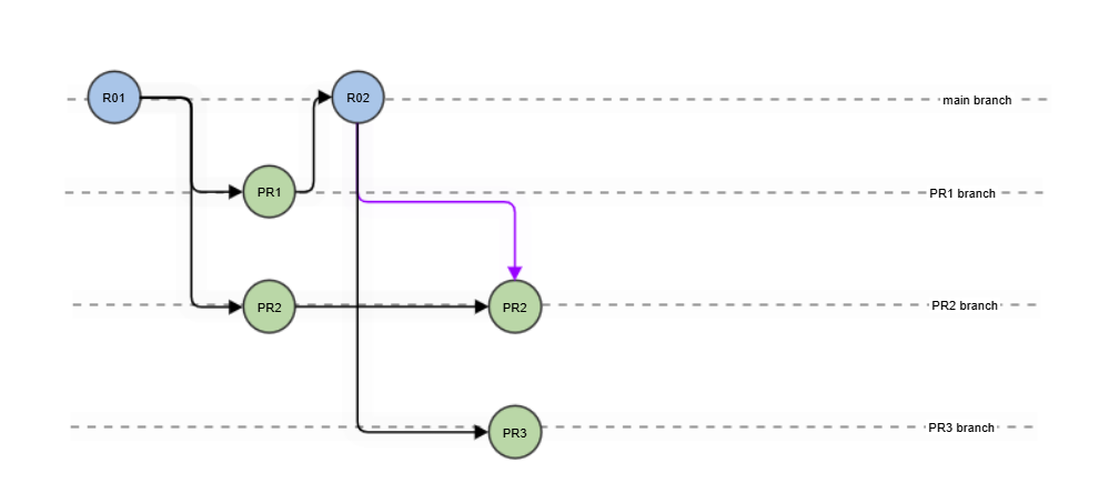
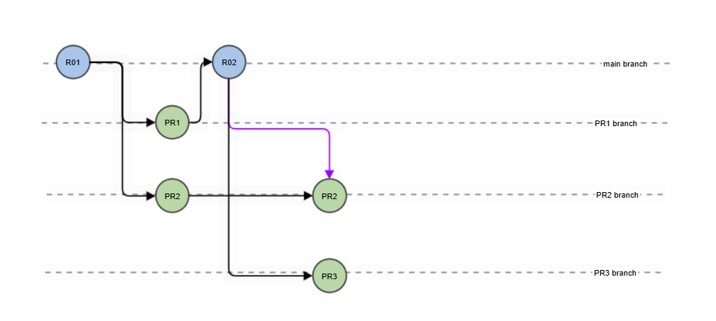
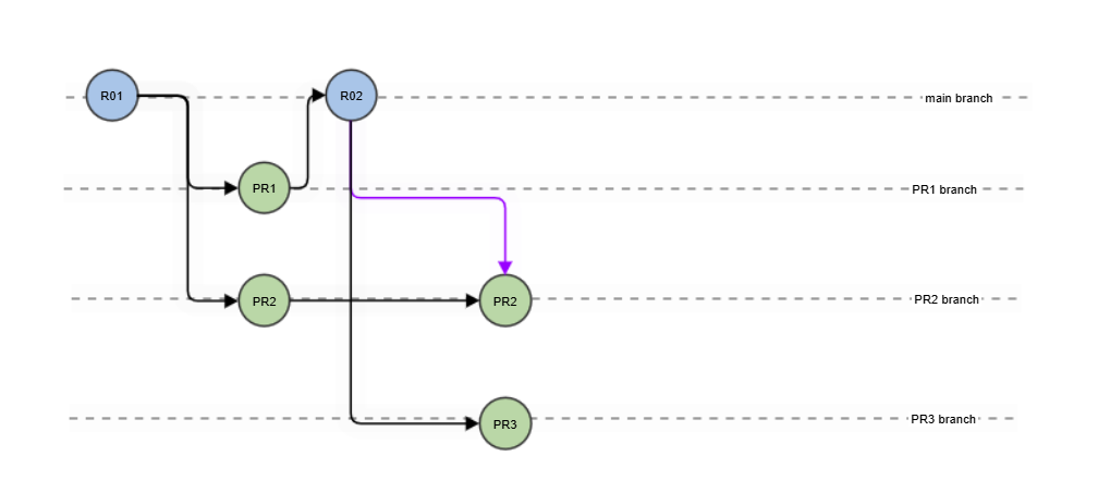
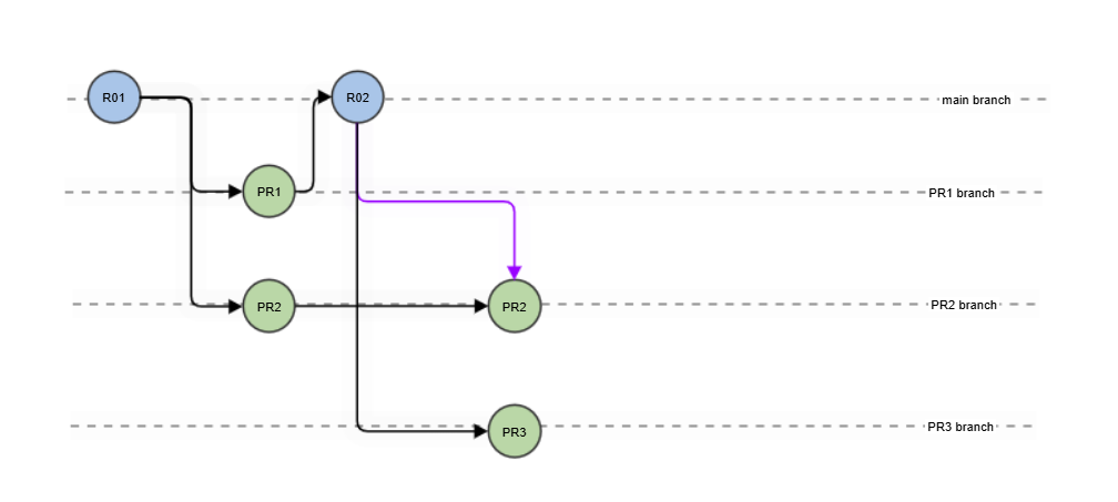
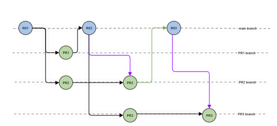
In the example above, we se PR1 and PR2 are created based on Release R01 in main branch. At some point PR1 gets merged into main and new release is created: R02.
We would then, merge changes from R02 to PR2 and have PR2 (which is still opened) point to R02 Release in main branch and reflect changes based on R02 (latest Release).
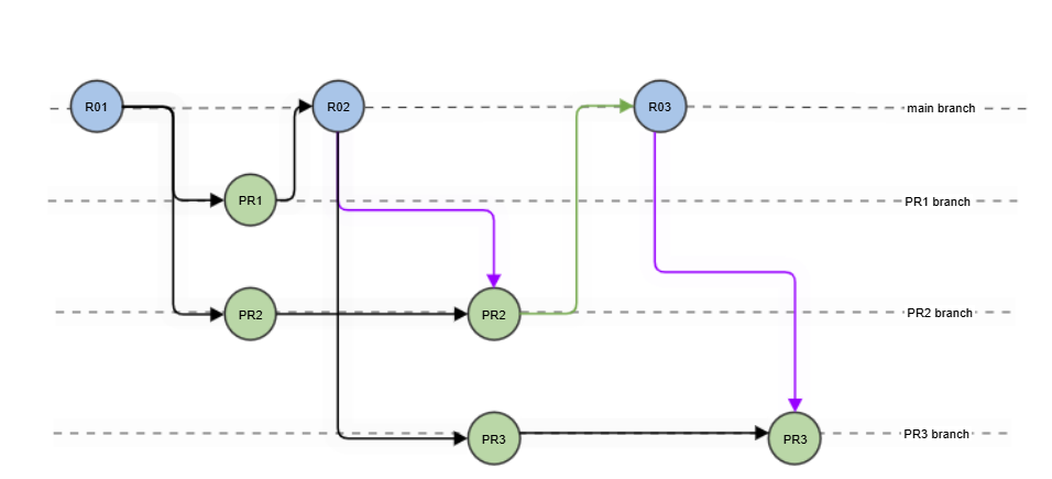
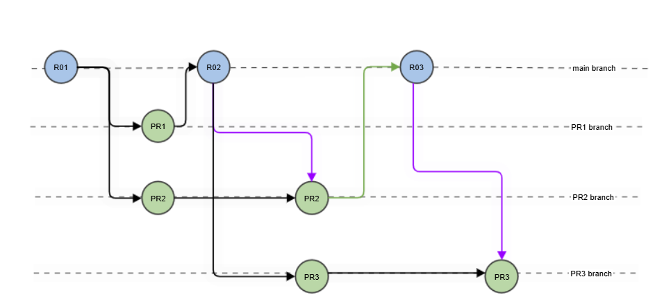
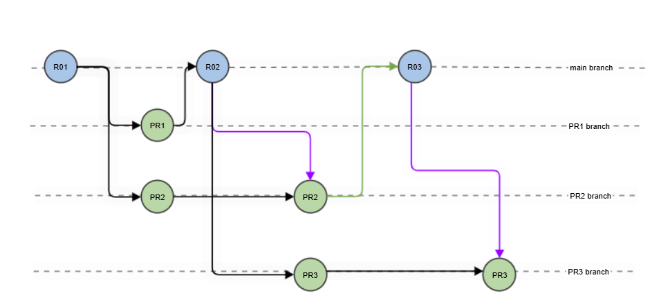
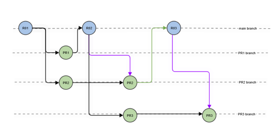
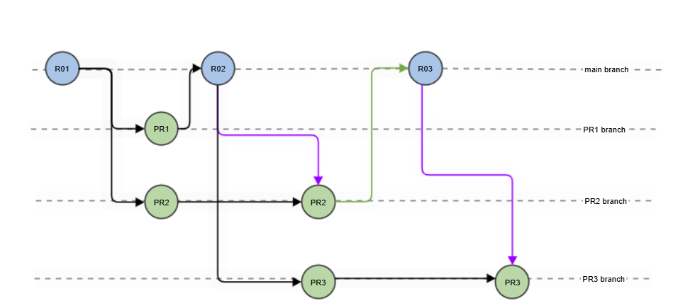
PR3 is created on timeline based on R02 release and doesn’t require adjustment until PR2 is merged to main and release R03 is created. When that happens, we have state:

That way we can always keep opened PRs having it’s based in latest release and keep comparrison testing easier.
HOWTOs: